Вернуться к содержанию учебника
Выберите год учебника
№2.430 учебника 2023-2024 (стр. 102):
Решите уравнение:

№2.430 учебника 2021-2022 (стр. 96):
Выполните действия:

№2.430 учебника 2023-2024 (стр. 102):
Вспомните:
№2.430 учебника 2021-2022 (стр. 96):
Вспомните:
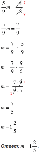
№2.430 учебника 2023-2024 (стр. 102):




Пояснения:
Равенство, содержащее неизвестное число, обозначенное буквой называют уравнением.
Корнем уравнения называют значение буквы, при котором уравнение становится верным числовым равенством.
Решить уравнение - значит найти все его корни (или убедиться, что это уравнение не имеет корня).
Чтобы найти неизвестное слагаемое, нужно из суммы вычесть известное слагаемое.
Чтобы найти неизвестное уменьшаемое, нужно к разности прибавить вычитаемое.
Чтобы найти неизвестный множитель, нужно произведение разделить на известный множитель.
а) Находим неизвестный множитель.
б) Находим неизвестный множитель, предварительно выполнив вычисления в правой части уравнения.
в) Сначала находим неизвестное слагаемое, а затем находим неизвестный множитель.
г) Сначала находим неизвестное уменьшаемое, а затем находим неизвестный множитель.
Правила, по которым выполняем вычисления:
1) чтобы найти частное двух дробей, надо делимое умножить на число, обратное делителю. При этом помним, обратным числу
является число
;
2) произведением двух дробей является дробь, числитель которой равен произведению числителей, а знаменатель - произведению знаменателей;
3) чтобы выполнить деление смешанных чисел, нужно записать эти числа в виде неправильных дробей, а затем воспользоваться правилом деления дробей;
4) чтобы сложить (вычесть) две дроби с разными знаменателями, надо: привести данные дроби к общему знаменателю, а затем применить правило сложения (вычитания) дробей с одинаковыми знаменателями;
5) чтобы найти сумму (разность) двух дробей с одинаковыми знаменателями, нужно сложить (вычесть) их числители, а знаменатель оставить прежним;
6) чтобы найти разность смешанных чисел, надо отдельно вычесть целые и отдельно дробные части и результаты сложить.
Чтобы преобразовать смешанное число в неправильную дробь, надо целую часть числа умножить на знаменатель дробной части и к полученному произведению прибавить числитель дробной части; эту сумму записать как числитель неправильной дроби, а в ее знаменатель записать знаменатель дробной части смешанного числа.
При выполнении умножения обыкновенных дробей, чтобы вычисления были проще, не надо перемножать сразу, лучше сделать это после сокращения. Сократить дробь - значит, разделить ее числитель и знаменатель на одно и то же число (наибольший общий делитель).
Если при вычислениях получилась неправильная дробь (числитель больше знаменателя), ее нужно преобразовать в смешанное число. Чтобы неправильную дробь, числитель которой нацело не делится на знаменатель, преобразовать в смешанное число, надо числитель разделить на знаменатель; полученное неполное частное записать как целую часть смешанного числа, а остаток - как числитель его дробной части.
№2.430 учебника 2021-2022 (стр. 96):

Пояснения:
Если в выражении есть скобки, то сначала выполняют действия в скобках, а затем за скобками.
Правила, по которым выполняем вычисления в скобках:
1) чтобы найти сумму двух дробей с одинаковыми знаменателями, нужно сложить их числители, а знаменатель оставить прежним;
2) чтобы найти разность двух дробей с одинаковыми знаменателями, нужно из числителя уменьшаемого вычесть числитель вычитаемого, а знаменатель оставить прежним;
3) чтобы сложить (вычесть) две дроби с разными знаменателями, надо, используя основное свойство дроби, привести данные дроби к общему знаменателю (наименьшее общее кратное знаменателей), затем применить правило сложения (вычитания) дробей с одинаковыми знаменателями.
После выполнения действий в скобках, в пунктах а) и в) получилось, что нужно единицу разделить на число. Если единицу разделить на какое-то число, то получится число, обратное делителю, так как произведение взаимно обратных чисел равно единице. А в пунктах б) и г) получилось произведение взаимно обратных чисел, которое равно единице.
Помним:
является число
.
- натуральное число, то обратным ему является число
.Также учитываем то, что при выполнении умножения на смешанное число, его нужно преобразовать в неправильную дробь. Чтобы преобразовать смешанное число в неправильную дробь, надо целую часть числа умножить на знаменатель дробной части и к полученному произведению прибавить числитель дробной части; эту сумму записать как числитель неправильной дроби, а в ее знаменатель записать знаменатель дробной части смешанного числа.
И если при вычислениях получилась неправильная дробь (числитель больше знаменателя), ее нужно преобразовать в смешанное число. Чтобы неправильную дробь, числитель которой нацело не делится на знаменатель, преобразовать в смешанное число, надо числитель разделить на знаменатель; полученное неполное частное записать как целую часть смешанного числа, а остаток - как числитель его дробной части.
Вернуться к содержанию учебника